Wireless gadgets are quickly penetrating the market and there is a need for high-speed internet connection mainly in offices therefore proper networks call for keen management. Some former generations of Wi-Fi technology, including "Wi-Fi 5" also known as 802.11ac, were initially created to cater to standard density users or typical internet usage. However, given the increased use of associated devices, from laptops to smartphones and IoT devices, these are rather outdated and fail to offer improved connections, particularly in high-density territories where they can clog up, resulting in latency and lower throughput.
To overcome these problems the enhanced version of “Wi-Fi 5” and "Wi-Fi 6" (802.11ax) has brought several improvements “such as Orthogonal Frequency Division Multiple Access (OFDMA), Multi-user multiple input, multiple output (MU-MIMO)”, and improved resource management. Newer developments enable "Wi-Fi 6" to support more devices, increase network efficiency, and minimize crosstalk.
Get assistance from our PROFESSIONAL ASSIGNMENT WRITERS to receive 100% assured AI-free and high-quality documents on time, ensuring an A+ grade in all subjects.
In office environments, therefore, users encounter slow data throughput rates and unreliable connections as network loads grow progressively heavier. Precisely, this need gives rise to the motivation for this study which aims at determining the extent to which "Wi-Fi 5" and "Wi-Fi 6" standards can meet current office requirements, especially with regards to the number of devices they can support. Comparing these two Wi-Fi standards in such environments is useful for organizations that are thinking about upgrading networks and finding out which standard can provide the best solution for future offices.
Aim: This study aims to comparatively evaluate "Wi-Fi 5" (802.11ac) and "Wi-Fi 6" (802.11ax) in terms of throughput, delay, and packet delivery ratio (PDR) in an office setting with a client density ranging from fifty to one hundred.
Objectives:
Wi-Fi 5 otherwise called 802.11ac succeeded Wi-Fi 4 (802.11n) as there is increasing demand for higher data rate and better utilization of the limited RF spectrum. Interestingly today "Wi-Fi 5" the generation over the Wi-Fi 4 operates in the 5 GHz frequency band and brings more or less fourfold enhanced features in terms of throughput, enhanced range, and reduced interference in heavy user density areas [1].
Another main characteristic of Wi-Fi 5, OFDM stands for Orthogonal Frequency Division Multiplex and provides a greater data transmission rate from the available range of frequencies. This technology makes it possible for many signals to be sent at a given time and thus support higher data rates in different frequencies. "Wi-Fi 5" also supports 256-QAM, this is an improvement on the modulation technique as it also enhances the quantity of data carried within a symbol, improving throughout the process [2].

Fig. 2.1: "Wi-Fi 5" and "Wi-Fi 6" comparison
Furthermore, "Wi-Fi 5" came along with “Multi-user Multiple-input Multiple-output (MU-MIMO)” which allows several devices to transmit at once and receive information also at the same time, making the network much more efficient. However, these improvements of "Wi-Fi 5" mean that it is not as effective in a highly crowded environment since it is not immune from interference and channel contention [3]. This makes it less suitable for high-density design—becoming increasingly prevalent in the office and enterprise worlds.
Wi-Fi 6, also called 11ax, is the most recent development in WLAN standards aimed at enhancing performance, and capacity in dense traffic areas. It extends and improves previous standards of Wi-Fi by adding several future enhancements that help to establish a much more stable connection particularly when many devices are connected to the network at the same time. The other significant improvement concerning "Wi-Fi 6" is the addition of the higher-level modulation 1024-QAM boosting the data rates connected with previous standards. Also, to achieve the capacity increase and reduce latency, "Wi-Fi 6" integrates “multi-user multiple input multiple outputs (MU-MIMO)” which is the capability of interacting with many devices at a time [4].
The same standard has adopted BSS (Basic Service Set) Coloring that assists in reducing inter-AP interferences, something that makes "Wi-Fi 6" all the more valuable for dense AP installations. These innovations make "Wi-Fi 6" a great leap forward from "Wi-Fi 5" (802.11ac), and it would be especially beneficial for highly dense users like offices, stadiums, or airports.
Previous research has compared "Wi-Fi 5" (802.11ac) with "Wi-Fi 6" (802.11ax), especially in congested areas to establish performance variance. "Wi-Fi 5" also known as “802.11ac” was developed in 2014 as an advancement over previous standards; being faster, with overall coverage,e and supporting higher data bandwidth (up to 160 MHz). However, it performs poorly in networks with multiple connected devices because of its poor capacity to handle interference and congestion rates [5].

Fig. 2.2: Bandwidth and channel width comparison
Specifically, "Wi-Fi 6" that is launched in 2019 has some fundamental upgrades over Wi-Fi 5: introducing OFDMA, multiple devices can communicate over the same channel at the same time. This helps to decongest certain parts of the network and make the best utilization of the general available space especially when used in crowded areas. Moreover, "Wi-Fi 6" also supports “1024 QAM modulation”, which implies high data rate transmission and enhances the “MU MIMO, which enables multi-user, multiple input, multiple output, connections”.
Research has shown that this new generation of Wi-Fi, "Wi-Fi 6" has better performance in terms of throughputs, latency, and network reliability than Wi-Fi 5, especially in high-user traffic areas [6]. All the benefits of "Wi-Fi 6" make it a more optimal solution for today’s open-office space with many devices that are supposed to work in parallel.
Wireless networks in offices are some of the most difficult to manage because of the high number of users and reliance on wireless links for a variety of organizational tasks. A greater number of connected devices often require more bandwidth, dependability, and minimal delays in their data’s transmission. Businesses engage in various computing tools which include laptops, Smartphones, tablets, and IoT devices and these systems need a reliable and fast internet connection to enable tasks such as video conferencing, file sharing cloud computing, and retrieving enterprise applications [7].

Fig. 2.3: Office environment diagram
Spatial reuse of wireless channels deployed under traditional Wi-Fi standards including the "Wi-Fi 5" tends to have poor performance in these high-density environments due to contention and interference. As for the connectivity of more devices, bandwidth is a limited resource; hence, clients share the bandwidth which leads to slow connection speeds, high latency, and decreased system performance. These problems are to be solved in "Wi-Fi 6" by various technologies like OFDMA, Multi-user MIMO besides BSS Coloring because "Wi-Fi 6" is designed to be fully capable of handling more devices at once while increasing the throughput and decreasing the delays.
These improvements can be of great benefit to an office environment by improving the connections being provided to the end user [8]. Given that today’s businesses are installing more IoT devices and more cloud services, Wi-Fi indeed becomes a vital component of the organizational network infrastructure in which the overall efficiency of Wi-Fi networks is improved with Wi-Fi 6.
Although there are several research articles published comparing "Wi-Fi 5" and "Wi-Fi 6" most of them done either in Laboratories with empty networks or with few densities of users are observed. Little research focuses on the applicability of these standards in high-density offices where network performance issues such as congestion and latency are realized. Further, the majority of the evaluations are based on theoretical models or even simulations with the help of general-purpose network simulators unlike specific ones like MATLAB and few are based on real-life scenarios. This research seeks to fill this gap by presenting a comprehensive comparative analysis of "Wi-Fi 5" and "Wi-Fi 6" based on their performance in realistic office scenarios, using the means of simulation.
The simulation reflects a typical office setting and networks containing from fifty to a hundred user devices. The area of a confined office is considered a rectangular area of 50 meters in length by 30 meters in width where both APs and end-user devices are assumed to be located. The office layout can be considered as open with no problems that exist large infrastructural barriers that would lead to significant signal loss [9].
It follows a random density of the user within the office space and every person carries a wireless-enabled device like a laptop or smartphone which has a connection with the Wi-Fi network. Each device has been programmed to create traffic similar to normal working day traffic by emulating traffic loads such as web traffic, video conferencing, file sharing traffic, and so on hence, the variations of traffic loads in the network.
Two Wi-Fi configurations are used in the simulation: Five and six respectively commonly referred to as "Wi-Fi 5" ( 802.11ac) and "Wi-Fi 6" (802.11ax). In the case of Wi-Fi 5, the simulation employs an 80MHz channel width and allows 256 QAM and 4×4 MIMO [10]. "Wi-Fi 6" on the other hand, runs with a channel bandwidth of 160 MHz, 1024 QAM, and other features which include the ability to handle multiple users simultaneously through OFDMA and MU MIMO.
The simulation results in power performance, throughputs, delays, and packet delivery ratio (PDR) at different user loads and under different networks tested with the same Wi-Fi standards for comparable results [11].
Defining the main “differences Between Wi-Fi 5 (802.11ac) and Wi-Fi 6 (802.11ax)”: technical characteristics and features taking into consideration performance in the conditions of high population density. "Wi-Fi 5" works in the frequency range of 5GHz and employs an OFDM modulation scheme for data transfer bandwidth [12]. It supports 256-QAM for higher speeds and up to 4 x4 MIMO which is used where data can be “transmitted and received through multiple antennas.” Challenging itself, "Wi-Fi 5" also employs 80 MHz channel bandwidth – which is not as great as the newer standards.

Fig. 3.1: Parameter comparison of "Wi-Fi 5" and Wi-Fi 6
In contrast, "Wi-Fi 6" works in both 2.4 GHz and 5 GHz ranges and tested OFDMA that permits multiple devices to deploy in one channel increasing effectiveness and minimizing throughput time. It supports 1024-QAM, which can further increase the data rate, and raise the MIMO to 8 × 8, which enhances the performance of the network in terms of multi-user. "Wi-Fi 6" also supports 160 MHz channel bandwidth for delivering increased data rate and available capacity [13]. Furthermore, BSS Coloring and MU-MIMO overcome particular interference issues and improve the system quality in dense scenarios.
These advanced features in "Wi-Fi 6" make it more in a way prepared for high-density offices where a high density of device connection poses a challenge to other W-Fi standards such as Wi-Fi 5.
To compare "Wi-Fi 5" and Wi-Fi 6, the following points are taken into account, each of which offers information on specific aspects of the network’s performance. These include:
These parameters delivered a rather significant and extensive assessment of both standards, thus unraveling the effectiveness and overall issues of those standards in an office setting.

Fig. 4.1: Throughput Comparison
This graph shows throughput using "Wi-Fi 5" and "Wi-Fi 6" while in an office setting, the number of users, and traffic density. On the x-axis, the number of users that are connected to the network is varied in intervals of 50 from 50 to 10,0, and on the y-axis, throughput in Mbps is depicted. From the foregoing performance analysis, "Wi-Fi 6" is observed to outperform "Wi-Fi 5" in all the user densities, thereby explaining the ability of "Wi-Fi 6" to accommodate more user traffic density as well as deliver a higher data rate. The throughput of both the "Wi-Fi 5" and "Wi-Fi 6" continues to degrade as the number of users increases, though for "Wi-Fi 5" the decline is significant after fifty users, there is congestion and interference; the throughput of "Wi-Fi 6" remains almost constant. They can also be due to features like OFDMA and MU MIMO that provide solutions for finer bandwidth utilization and multi-user access respectively [17]. This comparison emphasizes the ability of "Wi-Fi 6" to perform well in crowded network settings.

Fig. 4.2: Delay Comparison
This figure shows the delay analysis of "Wi-Fi 5" and "Wi-Fi 6" concerning user density. The horizontal axis shows the number of users, and the vertical axis represents the average response delay in milliseconds. The trends indicate that in terms of mobile users, "Wi-Fi 6" exhibits a much better delay than Wi-Fi 5, as the user number grows. Scheduling mechanisms in "Wi-Fi 5" are much less efficient, as well as multi-user support, which results in the emergence of significantly higher delays in above mentioned Wi-Fi generation as soon as the number of connected devices grows. Having said that, the "Wi-Fi 6" widget from its features such as OFDMA and BSS Coloring makes less contention and better traffic handling [18]. Therefore, with the help of "Wi-Fi 6" delivers better reliability and responsiveness in high-density areas where low latency is needed for applications like “Voice over Internet Protocol (VoIP)” as well as video conferencing. This comparison emphasizes the fact that "Wi-Fi 6" is better designed than "Wi-Fi 5" to handle the congestion of the network.

Fig. 4.3: PDR vs Users and Traffic Intensity
As shown in the figure below, "Wi-Fi 5" and "Wi-Fi 6" PDR against varied numbers of users and traffic intensity is depicted by the Packet Delivery Ratio. On the x-axis, the number of users is measured, and on the y-axis, the protocol delivery rate in terms of the ratio of packets received successfully relative to the total packets transmitted is given. The level of traffic intensity is more varied than in fork, which means that the calls can be made at different types of network loads. Further, user counts and traffic intensities yield lower PDR for "Wi-Fi 5" as congestion and interference lead to packet drops. On the other hand, "Wi-Fi 6" sustains a higher and steady PDR and this is even when the loaded traffic at the AP is significantly high [19]. This stability can be discussed thanks to the increased "Wi-Fi 6" resource management and effective data scheduling that reduces the impact of packet losses and collisions. The figure demonstrates that "Wi-Fi 6" has a significant advantage in delivering packets in high-density offices with different traffic intensities.

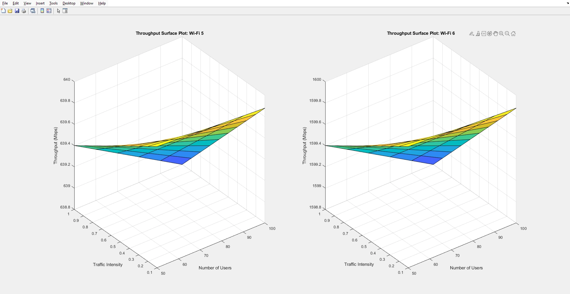
Fig. 4.4: Throughput vs Users and Traffic Intensity
The comparison of the "Wi-Fi 5" and "Wi-Fi 6" throughput with the increase in the number of concurrent users and traffic is presented in this figure. On the x-axis one has the number of users, on the y-axis there is the throughput in Mbps. When traffic intensity is high, "Wi-Fi 5" offers low throughput efficiency and that worsens with more users on the network. Probably this is so because there is more interference and less optimal allocation of resources in multi-hop networks. To that end, "Wi-Fi 6" demonstrates stable throughput as both user density and traffic intensity increase, as opposed to Wi-Fi. This can be attributed to the new features of OFDMA and MU MIMO; they provide the tech with a superior ability to share resources with individuals all at once [20]. This figure also shows that "Wi-Fi 6" is better equipped to sustain high throughput when Loads are heavy, thus ideal for network environments where loads of devices operate concurrently.

Fig. 4.5: Collision Probability Comparison
This figure shows the Collisions of "Wi-Fi 5" and "Wi-Fi 6" with different users’ traffic and loads. On the horizontal axis, the number of users connected to the system is indicated, and on the vertical axis, the probability of collisions. With high-density users, the collision probability of "Wi-Fi 5" escalates rapidly in the high-traffic intensity regime. This is because "Wi-Fi 5" is characterized by few channels and weak resource management solutions. On the other hand, the permutation "Wi-Fi 6" has a low collision probability, due to the features like BSS Coloring that enables differentiation of BSS transacting in the same channel. The fact that "Wi-Fi 6" reduces collisions increases the effective utilization of the frequency space and guarantees better efficiency in the environment with the high density of connections [21]. Regarding Wi-Fi 6, this comparison shows how the technology helped to better control congestion and avoid a significant number of packet collisions which is paramount to stable connectivity.
4.2 Discussion
The comparison of "Wi-Fi 5" and "Wi-Fi 6" in terms of developed schemes and parameters showed that new standards provide several times higher throughput and network capacity in dense arrangements such as an office. Analyzing the results obtained from throughput, delay, packet delivery ratio (PDR), and collision probability it can be concluded that "Wi-Fi 6" outperforms Wi-Fi 5. Another plus of "Wi-Fi 6" is that its throughput remains higher than that of its predecessors as the number of simultaneously connected users and overall traffic load grows [22]. This has been attributed to the new technology OFDM together with Multi-user Multiple Input “Multiple Output MIMO” that opens avenues to the use of bandwidth and utilization of available resources aptly.
The results also highlight the optimization of the delay and latency, to achieve more stability in usage during the density loading of Wi-Fi 6. This reduction in delay is crucial for “real-time applications such as video-conferencing and VoIP” where excessive delay degrades the quality of experience of the end user.
Furthermore, the elaborated collision probability in the "Wi-Fi 6" implies its better ability to manage the network traffic. This reduces the number of times packets collide and helps maintain higher reliability on a network with many connected devices achieved by Wi-Fi 6.
In summary, "Wi-Fi 6" is a clear winner in overcoming the high-density user environment problems of widely used wi-fi applications [23]. In terms of both efficiency and stability, "Wi-Fi 6" outperforms "Wi-Fi 5" in handling high-density users.
The analysis of the performance indicators of "Wi-Fi 5" and "Wi-Fi 6" shows that the standards respond differently to density issues. Throughput, delay, PDR, and collision probability are used to get the performance analysis of the network. "Wi-Fi 6" offered better results in every experimentation, most notable when the number of users is large and traffic density is high [24]. The enhancement of this feature is due to its efficient resource control features like OFDMA and MU-MIMO that enhance data sharing capability in that it supports multiple users at once without being drowned.
This is also true for delay, where "Wi-Fi 6" exhibited even less delay despite a heavy load of traffic being transmitted. Thiprovesve is very useful, especially in real-time-based applications [25]. It also revealed higher PDR performance which indicates that "Wi-Fi 6" successfully transmitted packets through the congested network in the current experiment. Furthermore, a higher collision probability ratio in "Wi-Fi 6" than in "Wi-Fi 5" also indicates its effectiveness in handling dense network systems. Altogether, due to Wi-Fi 6’s higher performance parameters, the technology is better suited to today’s multi-production office space [26].
Despite several challenges and drawbacks still exist in the application and operation of Wi-Fi 6. For example, the cost and difficulty in expanding the current infrastructure to enable the implementation of "Wi-Fi 6" is one of the main issues. In some cases, organizations have to install new access points, routers, and devices which are both costly and require time.
Another drawback is possible channel interference in areas of high traffic density. However, "Wi-Fi 6" lowers interference when compared to, for example, Wi-Fi 5, but it does not altogether eliminate it [27]. There is still the issue with the layout of the environment along with physical barriers, proximity to other networks, and positions of the devices.
However, "Wi-Fi 6" offers higher performance in overcrowded areas, which means the density of the enhancements may not benefit a lot of low-density networks [28]. Thus, the following limitations should be taken into account when engineering enhancements for computer networks.
The commercialization of the Wi-Fi networks especially in offices means that there are several possibilities behind the utilization of the existing structures for profitable ends. Of the primary strategies, this can be achieved by creating and offering better and restricted access to the distribution network to end consumers. Currently, it is possible to provide additional services such as improved connectivity, high speed, or priority for a price of additional cost [29]. This model could be valuable in circumstances where the density of users can be high and the requirement of standard network services may not suffice for each user.
The second way to monetize the site is to incorporate a data analytics aspect into it. Wi-Fi networks can capture the data related to users and their activity, traffic, and gadget usage, for instance. This information can be sold or used to enhance the analysis of the marketing techniques and the customer base. Moreover, showing advertisements through a captive portal, where users agree to view the ads before they get access to the networks, is another way of making the needed money [30].
Last but not least is the third-party contract with service providers including cloud services or IoT application solutions that can add more revenue generation by fusing Wi-Fi access with business-related extra services.
VII. Conclusion
Comparing "Wi-Fi 5" and "Wi-Fi 6" in terms of performance, efficiency, and scalability it is evident that "Wi-Fi 6" holds savvy benefits in a highly populated office environment. Evaluation done for throughput, delay, PDR, and collision probability rate shows that "Wi-Fi 6" is superior to "Wi-Fi 5" in all aspects. OFDMA as well as MU-MIMO are the improved characteristics of resource management of "Wi-Fi 6" that allow "Wi-Fi 6" to deal with the higher user density and fluctuating traffic load in comparison to Wi-Fi 5.
In corporate working spaces with potentially a vast number of connected devices, the opportunity to have a stable connection and improved Wi-Fi performance in terms of bandwidth, latency, and overall throughput make "Wi-Fi 6" the best option for modern business. The diminished delay in network connection and increased efficiency of higher packet delivery also make "Wi-Fi 6" ideal for low-latency use cases such as video calling and voice-over-internet protocol calls.
At the same time, even having considered the benefit of introducing "Wi-Fi 6" there are various issues like the cost of introducing new infrastructure and interference. Nonetheless, the performance increases make the spending worthwhile, especially for any firm that wants to plan for the future of its network connection. In conclusion, "Wi-Fi 6" is a substantial advancement to wireless communication systems and addresses the scalability issues in office spaces with the need for high bandwidth and density.
References
Introduction to Equality and Vulnerability in Health and Social Care Assignment Sample In relation to health care, vulnerability...View and Download
Introduction to Discrimination In The Workplace Assignment In health and social care, discriminatory practices against employees...View and Download
Introduction to Exploring Research in Psychology Assignment Sample This assignment sample on exploring research in psychology...View and Download
Introduction to Evidence-Based Practice In Nursing Assignment Sample Contemporary nursing aims to present a review of the...View and Download
Introduction to Website Specification Article for Travel and Tourism Assignment Sample Travel and tourism refer to the activity...View and Download
Introduction: Level 3 in Adult Care Assignment Sample Effective communication is an essential skill in adult care...View and Download